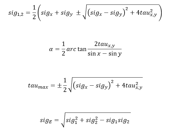
Stress results is making about Mohrs' circle, target is to have stress items
sig1 & sig2 and tau max. The result is of course +sig1, -sig1, +sig2, -sig2
and +tau max, -tau max.

For the calculation the software used the Huber-Mieses-Hencky methode, see formulas bellow